ENG
  • Ученість — солодкий плід гіркого коріння.

  • Доклади серця свого до навчання і вуха свої до розумних слів

  • Вчись не для того, щоб знати більше, а для того, щоб знати краще.

  • Важлива не кількість знань, а якість їх.

  • Є тільки одне благо - знання й тільки одне зло - неуцтво.

  • Єдиний шлях, що веде до знання, - це діяльність.

  • Бич людини - це уявлюване знання.

  • Знання - сила.

  • Знання - знаряддя, а не ціль.

  • Запам'ятовувати вміє той, хто вміє бути уважним.

Донбаська державна
машинобудівна академія

Список осіб, рекомендованих до зарахування на навчання

2025 рік

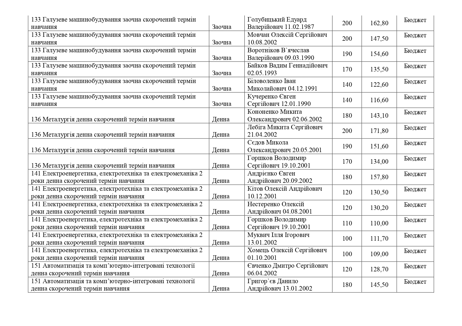
Рейтинговий список осіб, рекомендованих до зарахування (БЮДЖЕТ) на ДЕННУ форму здобуття освіти на основі диплома молодшого спеціаліста, фахового молодшого бакалавра 2025 року

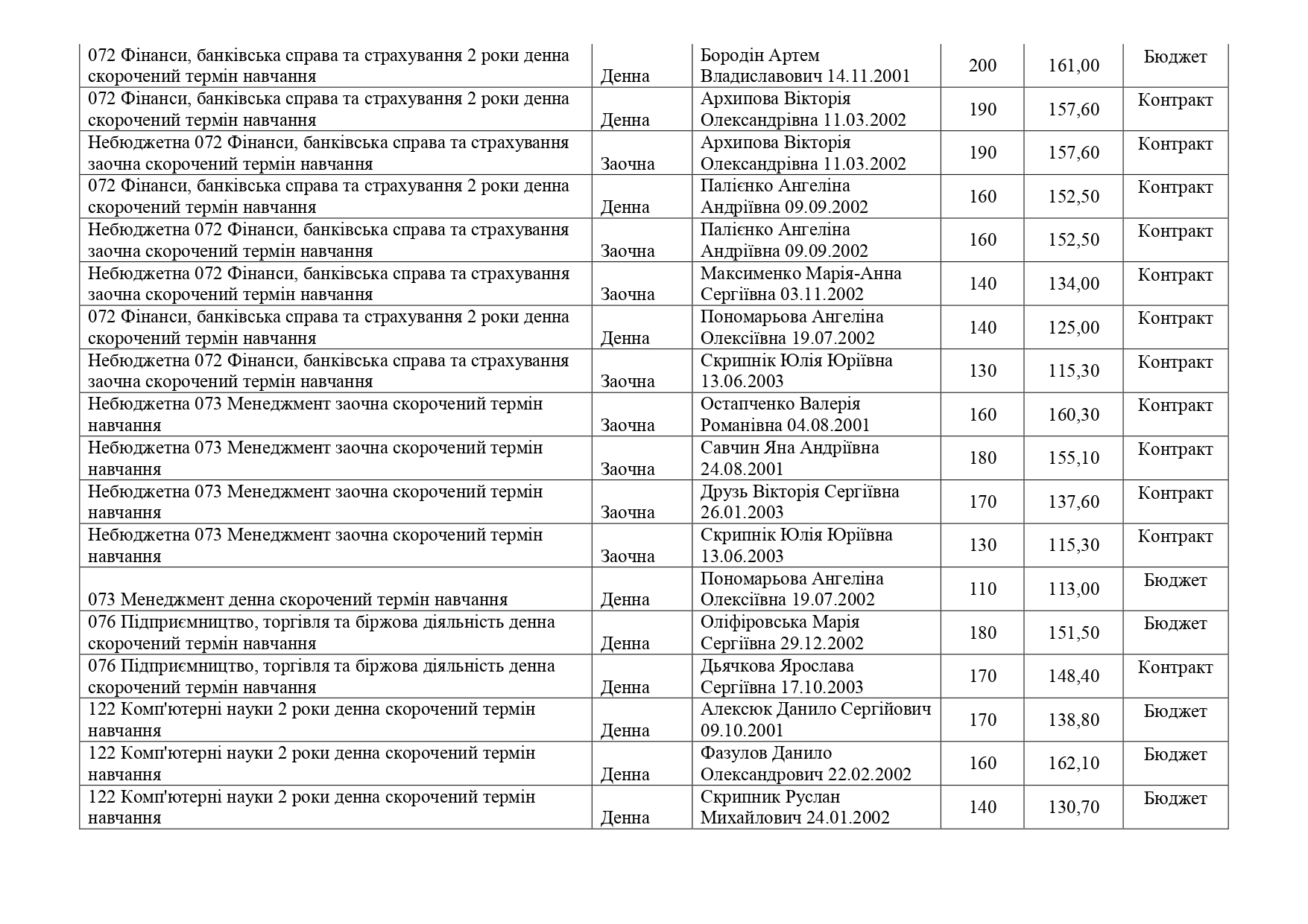
Рейтинговий список осіб, рекомендованих до зарахування (КОНТРАКТ) на ДЕННУ форму здобуття освіти на основі диплома молодшого спеціаліста, фахового молодшого бакалавра 2025 року

Рейтинговий список осіб, рекомендованих до зарахування (КОНТРАКТ) на ЗАОЧНУ форму здобуття освіти на основі диплома молодшого спеціаліста, фахового молодшого бакалавра 2025 року

Рейтинговий список осіб, рекомендованих до зарахування (БЮДЖЕТ) на ЗАОЧНУ форму здобуття освіти на основі диплома молодшого спеціаліста, фахового молодшого бакалавра 2025 року

Рейтинговий список осіб, рекомендованих до зарахування (КОНТРАКТ) на ДЕННУ форму здобуття освіти на основі диплома молодшого спеціаліста, фахового молодшого бакалавра 2025 року

Рейтинговий список осіб, рекомендованих до зарахування (КОНТРАКТ) на ЗАОЧНУ форму здобуття освіти на основі диплома молодшого спеціаліста, фахового молодшого бакалавра 2025 року

2024 рік

Рейтинговий список осіб, рекомендованих до зарахування на ДЕННУ форму здобуття освіти на основі диплома молодшого спеціаліста, фахового молодшого бакалавра 2024 року

Рейтинговий список осіб, рекомендованих до зарахування на ЗАОЧНУ форму здобуття освіти на основі диплома молодшого спеціаліста, фахового молодшого бакалавра 2024 року

Рейтинговий список осіб, рекомендованих до зарахування на ДЕННУ та ЗАОЧНУ форму здобуття освіти на основі диплома молодшого спеціаліста, фахового молодшого бакалавра 2024 року (Контракт)



Рейтинговий список осіб, рекомендованих до зарахування на ДЕННУ та ЗАОЧНУ форму здобуття освіти на основі диплома молодшого спеціаліста, фахового молодшого бакалавра 2023 року



Рейтинговий список, рекомендованих до зарахування на денну та заочну форму навчання на основі диплома молодшого спеціаліста, фахового молодшого бакалавра за квотою - 2 2022 року

Рейтинговий список, рекомендованих до зарахування на бюджет на денну форму здобуття освіти на основі молодшого спеціаліста 2022 року

Рейтинговий список, рекомендованих до зарахування на бюджет на денну форму здобуття освіти на основі молодшого спеціаліста 2022 року (Контракт)

Рейтинговий список, рекомендованих до зарахування на бюджет на заочну форму здобуття освіти на основі молодшого спеціаліста 2022 року (Контракт)

Рейтинговий список, рекомендованих до зарахування на контракт (додатковий набір) на денну форму здобуття освіти на основі молодшого спеціаліста

Рейтинговий список, рекомендованих до зарахування на контракт (додатковий набір) на заочну форму здобуття освіти на основі молодшого спеціаліста



Ретинговий список, рекомендованих до зарахування на бюджет на денну форму навчання на базі диплома "Молодший спеціаліст" 2021 р.